BPS
College of Education
Home
Land
Contact Us
Infrastructure
Instructional Facility
Faculty Information
Finance Report
Management
Mandatory Disclosers
Affidavit
Map
Be a Qualified
Teacher
With
BPS
Behror Road
Nangal Choudhary
Teh-Narnaul
Distt.- Mohinder Garh
HARYANA - 123023
Contact No.:01282-278040
9416283881
9540493706
9355012326
9467974252
bpscollege2010@gmail.com
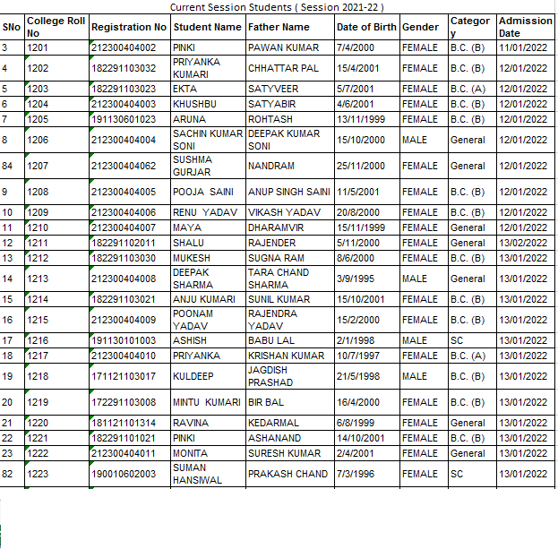
Student List